For the best experience, please use Google Chrome.
Setting up your app...
Tap below to open the full experience.
What is the primary function of a circuit breaker in an electrical system? Answer : It Cuts the power off in any fault in the circuit such as overloading to protect appliances....
MCQ on Synchronous Motor | Electrical Engineering
Loading products...
What is the function of a capacitor in an electronic circuit? Answer : To store electric energy when the circuit is closed and release the energy when circuit is opened ...
Electrical Engineering App | Electrical Engineering
![ ![\]\[1\]][1] [1]: http://
What is trading ? | What is copy trading ? | How to get started with Octafx Copytrading ?
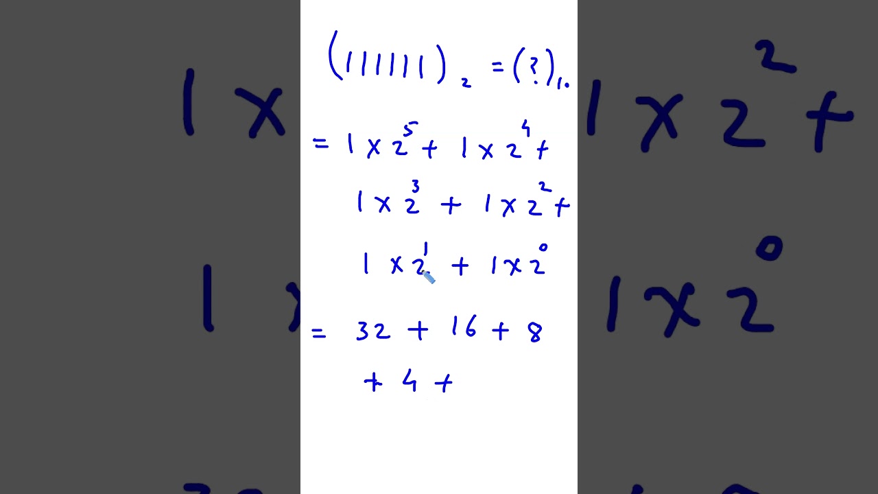
![][1] [1]: https://electrical-engineering.app/?qa=blob&qa_blobid=11012009995348184732
MCQ on DC Series motor | Electrical Engineering
What is the value of x in the equation 2x + 5 = 15? Answer : 2x + 5 =15 2x = 15 - 5 2x = 10 x = 10/2 x = 5...
Problem on voltage, internal resistance of meter, percent error. | Electrical Engineering
Solve the second-order homogeneous differential equation y'' - 5y' + 6y = 0.
Impedance and Admittance Problems | Impedance Problems and Solutions | Electrical Engineering
Describe an experiment to determine the acceleration due to gravity (g) using a simple pendulum.
EX-OR gate | Digital Electronics | Digital Techniques | Electrical Engineering
What is the difference between stress and strain in a mechanical component?
App link in bio #electricalandelectronicengineering #highpassfilter #electricalcircuit
What is the difference between isometric and orthographic projections in technical drawing?
SCADA (Supervisory Control and Data Acquisition) MCQs | Electrical Engineering
What are the key elements of effective verbal communication?
Current Division Rule Problems | 10 Solved Examples on Basic to Advanced Level Current Divider Rule
279 questions
206 answers
35.1k users