Google Chrome Logo

Browser Not Supported

This web application is specifically designed for the best experience on Google Chrome.

Please open this site in Chrome to continue.

If you don't have Chrome, you will be redirected to the app store.

๐Ÿ”

Recent questions and answers in Basic Electrical Engineering

X Full Screen Image
Electrical Engineering

Loading products...

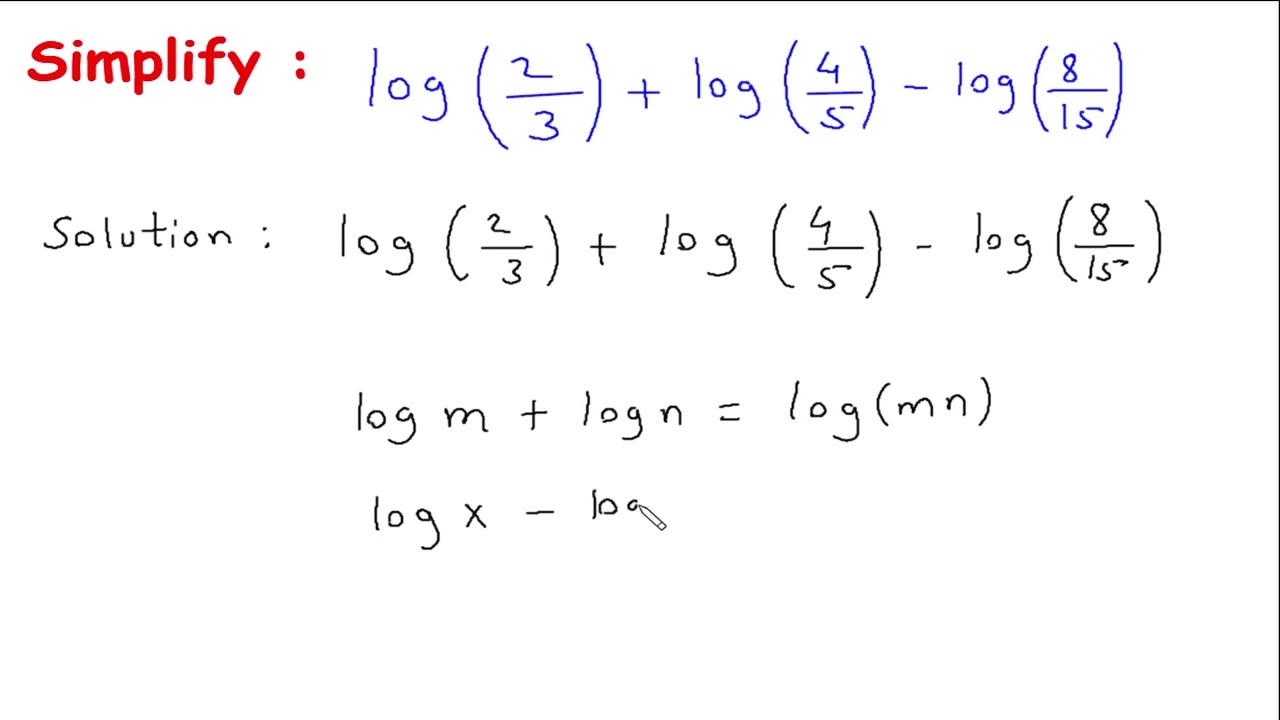
How to calculate winding of transformer?
Answer : --- ### Part 1: The Core Concepts (The "Why") Before we jump into calculations, let's understand the key principles. #### 1. The Universal EMF Equation This is the heart of all transformer ... and between the windings and the core. If you are a beginner, start with low-voltage projects first....

Show More
X Full Screen Image
Electrical Engineering

Loading products...

Learn everything about capacitors and capacitance. This guide covers the basics, how they work, key formulas (C=Q/V, C=ฮตA/d), series/parallel circuits, and common applications. Understand one of electronics' most fundamental components.
Answer : ![][1] [1]: https://electrical-engineering.app/?qa=blob&qa_blobid=18178307702692738661 ## Capacitors and Capacitance: A Comprehensive Guide Capacitors are among the most essential and ... them for filtering or timing, capacitors are indispensable tools for any electronics engineer or hobbyist....

Show More
X Full Screen Image
Electrical Engineering

Loading products...

What is Power Factor , Unity , Lagging & Leading Power Factor Explain
Answer : Answer : ![][1] [1]: https://electrical-engineering.app/?qa=blob&qa_blobid=15964266573149624668...

Show More
X Full Screen Image
Electrical Engineering

Loading products...

When to Use Star Connection and When to Use Delta ?
Answer : ![][1] ![][2] [1]: https://electrical-engineering.app/?qa=blob&qa_blobid=2709696531258548398 [2]: https://electrical-engineering.app/?qa=blob&qa_blobid=3165450322949766875 ### **Part ... and single-phase) and unbalanced currents. | Balanced, high-power loads where reliability is critical. |...

Show More
X Full Screen Image
Electrical Engineering

Loading products...

Define resistivity and conductivity of a material.
Answer : --- ### Overview **Resistivity** and **Conductivity** are two fundamental, intrinsic properties of a material that describe how it behaves in the presence of an electric field. They are ... (high conductivity) lets water flow easily, while a very sticky surface (low conductivity) hinders it....

Show More
X Full Screen Image
Electrical Engineering

Loading products...

List the factors that affect the resistance of a metallic conductor.
Answer : The resistance of a metallic conductor is determined by four main factors. Here is a list and explanation of each factor: ### 1. Length of the Conductor (L) * **Relationship:** ... (Note: Temperature is not explicitly in this formula, as resistivity (ฯ) itself is temperature-dependent.)*...

Show More
X Full Screen Image
Electrical Engineering

Loading products...

What is Electromotive Force (EMF)? How is it different from potential difference?
Answer : ### The Water Pump Analogy Imagine a water circuit with a pump and a water wheel. * **The Pump:** The pump does work on the water, lifting it up and giving it potential energy. It's the ... from a battery if you draw no current from it. The moment you use it, the terminal voltage drops slightly....

Show More
X Full Screen Image
Electrical Engineering

Loading products...

Root Mean Square (RMS) Value
Answer : Let's do the exact same process with a sine wave, which is the perfect real-world example. The principle is identical. ### The Goal is the Same Remember our goal: We have an AC sine wave voltage. We ... why a multimeter set to "AC Volts" will read 120V-it's built to show you the useful RMS value....

Show More
X Full Screen Image
Electrical Engineering

Loading products...

What is Electric Charge?
Answer : ![][1] [1]: https://electrical-engineering.app/?qa=blob&qa_blobid=16347969908108633683 --- ### **Electric Charge Explained: Properties, Types, and Coulomb's Law** Electric charge is a cornerstone ... :** One Coulomb is equivalent to the total charge of approximately **6.25 x 10ยนโธ electrons**....

Show More
X Full Screen Image
Electrical Engineering

Loading products...

To see more, click for all the questions in this category.
Learn Electrical and Electronics Engineering the easy way at Electrical-Engineering.app โ€“ tutorials, tools, calculators, and video lessons for students, professionals, and beginners.

Categories

277 questions

204 answers

23.1k users

...