Google Chrome Logo

Browser Not Supported

This web application is specifically designed for the best experience on Google Chrome.

Please open this site in Chrome to continue.

If you don't have Chrome, you will be redirected to the app store.

🔍
Back

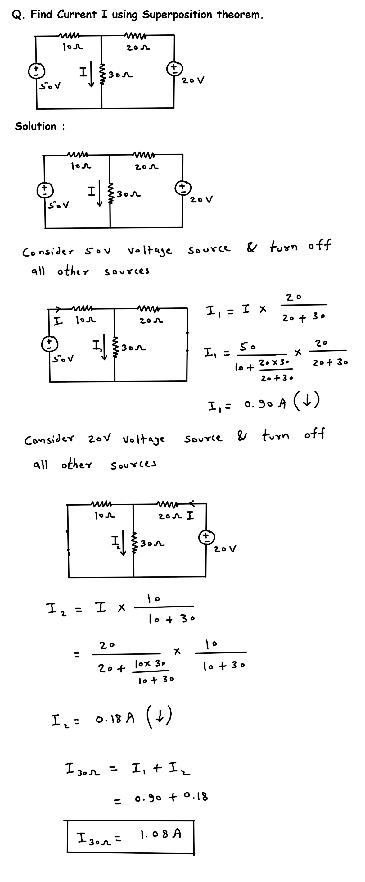
Find Current I using Superposition theorem.

0 like 0 dislike

1 Answer

✔️
Best answer

Solution :

0 like 0 dislike
Next ⇨Next ⇨⇦ Previous⇦ Previous

Related questions

Find Current I using Source Transformation. ![][1] [1]: https://electrical-engineering.app/?qa=blob&qa_blobid=15316522337060582892
Answer : ![][1] [1]: https://electrical-engineering.app/?qa=blob&qa_blobid=11914134666704783664 --- ### **How to Find Current in a Circuit Using Source Transformation: A Step-by-Step Guide** Source ... , we find that the current **I** flowing through the central 6Ω resistor is **2A**. ...

Show More
X Full Screen Image
Electrical Engineering

Loading products...

Apply Thevenin's theorem to find the current flowing through 10 Ohm resistor in the circuit shown in Fig. ![][1] [1]: https://electrical-engineering.app/?qa=blob&qa_blobid=17093197202595013139
Answer : Solution : ![][1] [1]: https://electrical-engineering.app/?qa=blob&qa_blobid=7777645411503729955...

Show More
X Full Screen Image
Electrical Engineering

Loading products...

Find the current in branch AB of the circuit shown in fig. using Source transformation ![][1] [1]: https://electrical-engineering.app/?qa=blob&qa_blobid=7019709196279102058
Answer : ![][1] [1]: https://electrical-engineering.app/?qa=blob&qa_blobid=13018689032320312451 ### **Find the Current in Branch AB using Source Transformation** This article provides a detailed solution for finding ... direction. Therefore, the current of 84.5 mA flows from **node B to node A**....

Show More
X Full Screen Image
Electrical Engineering

Loading products...

Find IL for the circuit shown in fig. using Source transformation. ![][1] [1]: https://electrical-engineering.app/?qa=blob&qa_blobid=4421852427935123661
Answer : ![][1] [1]: https://electrical-engineering.app/?qa=blob&qa_blobid=7043185347050990986 ### **How to Find Current in a Circuit Using Source Transformation: A Step-by-Step Example** This article provides a detailed ... I2) from a total current (I_total) is `I2 = I_total * (R1 / (R1 + R2))`....

Show More
X Full Screen Image
Electrical Engineering

Loading products...

X Full Screen Image
Electrical Engineering

Loading products...

Find the value of unknown resistance X in the circuit shown in the figure if no current flows through the section AO. Also calculate the current drawn by the circuit from the battery of emf. 6V ... resistance. ![][1] [1]: https://electrical-engineering.app/?qa=blob&qa_blobid=394010198424626099
Answer : ### Part 1: Finding the value of the unknown resistance X The problem states that no current flows through the section AO. Let's label the central junction point as 'O'. 1. **Identify the Principle:** The ... resistance **X is 6Ω**. * The current drawn by the circuit from the battery is **1A**....

Show More
X Full Screen Image
Electrical Engineering

Loading products...

A battery of emf E and internal resistance r sends a current, I1 , I2 when connected to an external resistance of R1 , R2 respectively. Find the emf. and internal resistance of the battery.
Answer : Let's derive the expressions for the electromotive force (EMF) and the internal resistance of the battery step-by-step. ### Understanding the Setup The core principle we'll use is Ohm's law applied to the entire circuit. For a ... $$ **EMF (E):** $$ E = \frac{I_1 I_2 (R_1 - R_2)}{I_2 - I_1} $$...

Show More
X Full Screen Image
Electrical Engineering

Loading products...

Find the Thevenin equivalent circuit of the circuit shown in Fig. to the left of the terminals a-b. Then find the current through RL = 6, 16, and 36 Ohm. ![][1] [1]: https://electrical-engineering.app/?qa=blob&qa_blobid=8797772883006435339
Answer : Solution : ![][1] [1]: https://electrical-engineering.app/?qa=blob&qa_blobid=9419660387739356857...

Show More
X Full Screen Image
Electrical Engineering

Loading products...

What is the Fundamental Theorem of Calculus, and why is it considered "fundamental" to the study of calculus?
Answer : The Fundamental Theorem of Calculus is the central pillar that connects the two main branches of calculus: **differentiation** and **integration**. In essence, it rigorously proves ... This relationship is the foundation for countless applications in physics, engineering, economics, and statistics....

Show More
X Full Screen Image
Electrical Engineering

Loading products...

Describe an experiment to determine the acceleration due to gravity (g) using a simple pendulum.

Show More
X Full Screen Image
Electrical Engineering

Loading products...

X Full Screen Image
Electrical Engineering

Loading products...

Show that the points (8, 1) (3,-4) and (2,-5) are collinear using determinant.
Answer : ### **The Principle** Three points, (x₁, y₁), (x₂, y₂), and (x₃, y₃), are **collinear** (lie on the same straight line) if and only if the area of the triangle they form is zero. ... points do not form a triangle and must lie on the same straight line. Therefore, the points **are collinear**....

Show More
X Full Screen Image
Electrical Engineering

Loading products...

A storage battery of emf 8.0 V and internal resistance 0.5 Ohm is being charged by a 120 V DC supply using a series resistor of 15.5 Ohm . What is the terminal voltage of the battery during charging? What is the purpose of having a series resistor in the charging circuit?
Answer : ### Given Data: * Electromotive force (emf) of the battery, $E = 8.0 \text{ V}$ * Internal resistance of the battery, $r = 0.5 \text{ } \Omega$ * DC supply voltage, $V_{supply} = ... to a much safer and more manageable **7.0 A**, protecting both the battery and the power supply from damage....

Show More
X Full Screen Image
Electrical Engineering

Loading products...

Explain with the help of a circuit diagram, how the value of an unknown resistance can be determined using a Wheatstone bridge?
Answer : ![][1] [1]: https://electrical-engineering.app/?qa=blob&qa_blobid=407323477172242274 ### **Introduction** A Wheatstone bridge is an electrical circuit used for the precise measurement of an ... (R₃) at the balance point has been recorded, the unknown resistance Rₓ can be calculated precisely....

Show More
X Full Screen Image
Electrical Engineering

Loading products...

With suitable circuit diagram, show how emfs of 2 cells can be compared using a potentiometer?
Answer : ![][1] [1]: https://electrical-engineering.app/?qa=blob&qa_blobid=16022041933233000659 ### **Principle of a Potentiometer** A potentiometer works on the principle that the potential drop ... -section. 4. The current in the primary circuit should be kept constant throughout the experiment....

Show More
X Full Screen Image
Electrical Engineering

Loading products...

A set of n-identical resistors, each of resistance R ohm when connected in series have an effective resistance of X ohm and when the resistors are connected in parallel the effective resistance is Y ohm. Find the relation between R , X and Y ?
Answer : Let's break this down step-by-step to find the relationship between R, X, and Y. ### 1. Resistors in Series When resistors are connected in series, their total effective resistance is the sum of ... the **geometric mean** of the total series resistance (X) and the total parallel resistance (Y)....

Show More
X Full Screen Image
Electrical Engineering

Loading products...

![][1] [1]: https://electrical-engineering.app/?qa=blob&qa_blobid=16376151831243866731
Answer : To find the equivalent resistance `Rab` between terminals a and b, we need to simplify the given resistor network. This circuit contains a "bridge" configuration that cannot be simplified using only standard series ... 36.25 Ω** The equivalent resistance between terminals a and b is **36.25 Ω**....

Show More
X Full Screen Image
Electrical Engineering

Loading products...

Using source conversion, convert the given circuit into an equivalent circuit containing a single resistance and voltage source. ![][1] [1]: https://electrical-engineering.app/?qa=blob&qa_blobid=4024946229561106108
Answer : ![][1] [1]: https://electrical-engineering.app/?qa=blob&qa_blobid=8995260068267182734 --- ### **Mastering Circuit Analysis: A Step-by-Step Guide to Source Transformation** Source ... polarity of voltage sources and the direction of current sources at every step to ensure an accurate result....

Show More
X Full Screen Image
Electrical Engineering

Loading products...

Using source conversion, reduce the circuit shown in the figure into a single voltage source in series with a single resistance. ![][1] [1]: https://electrical-engineering.app/?qa=blob&qa_blobid=18414686426985693295
Answer : ![][1] [1]: https://electrical-engineering.app/?qa=blob&qa_blobid=9298562401596151803 ### **Source Transformation Explained: A Step-by-Step Circuit Simplification Example** Source ... a resistor is a Norton equivalent circuit. Source transformation is the method to convert between them....

Show More
X Full Screen Image
Electrical Engineering

Loading products...

Given the following electrical circuit, calculate the output voltage Vo across the 4 kΩ resistor using source transformation. ![][1] [1]: https://electrical-engineering.app/?qa=blob&qa_blobid=17431506859821844536
Answer : ![][1] [1]: https://electrical-engineering.app/?qa=blob&qa_blobid=16228213692693242430 ### **Solved Example: Calculating Output Voltage (Vo) using Source Transformation** This article provides a complete walkthrough ... The output voltage **Vo** across the 4 kΩ resistor is **10.6448 V**. ...

Show More
X Full Screen Image
Electrical Engineering

Loading products...

Explain the concept of following terms : (i) Connected load (ii) Maximum demand
Answer : --- ### (i) Connected Load #### Definition **Connected Load** is the sum of the power ratings (in Watts or Kilowatts) of all electrical appliances and equipment installed in a consumer's ... infrastructure (wires, breakers). | **Billing & Grid Management** (demand charges, capacity planning). |...

Show More
X Full Screen Image
Electrical Engineering

Loading products...

State two insulators of following types along with their areas of application: (i) Class A (ii) Class E (iii) Class H
Answer : Here are two examples of insulating materials for each specified class, along with their areas of application. These insulation classes are defined by their maximum allowable operating temperature, ... traction motors (used in trains), which operate under severe thermal and mechanical stress....

Show More
X Full Screen Image
Electrical Engineering

Loading products...

Explain with justification two uses of each of two following as an electrical conductor: (i) Brass (ii) Silver
Answer : ### (i) Brass Brass is an alloy primarily made of copper and zinc. While it is a good electrical conductor, it is not as conductive as pure copper. Its usefulness comes from a ... silver (lowest possible signal loss) while keeping the cost much lower than using a solid silver conductor....

Show More
X Full Screen Image
Electrical Engineering

Loading products...

Explain the use of the following components in electrical wiring system and give specification of each: (i) MCB (ii) ELCB
Answer : ### Introduction In any modern electrical wiring system, safety and protection are paramount. Devices like MCBs and ELCBs are critical safety components installed in a consumer unit (also known as a ... (lighting, sockets, etc.) | Protecting a group of circuits or an entire installation |...

Show More
X Full Screen Image
Electrical Engineering

Loading products...

Explain the use of following tools in carrying out electrical wiring installation: (i) Nose pliers (ii) Test lamps (iii) Crimping tools (iv) Cutter.
Answer : General Introduction In electrical wiring, using the correct tool for the job is not just about efficiency; it is a fundamental requirement for safety and the quality of the finished installation. A poor ... Do not use them to cut steel wire or screws, as this will damage the cutting edges....

Show More
X Full Screen Image
Electrical Engineering

Loading products...

Given n resistors each of resistance R, how will you combine them to get the (i) maximum (ii) minimum effective resistance? What is the ratio of the maximum to minimum resistance?
Answer : The two fundamental ways to combine resistors are in **series** and in **parallel**. These two configurations yield the maximum and minimum possible resistances, respectively. --- ### (i) Maximum Effective Resistance To obtain the * ... {min} = R/n$ | | **Ratio** | $R_{max} / R_{min}$ | $n^2$ |...

Show More
X Full Screen Image
Electrical Engineering

Loading products...

Compare the electrical, mechanical and thermal properties of : i) asbestos (ii) mica (iii) porcelain as an insulating material
Answer : ### Classification of Wiring Electrical wiring can be classified based on several criteria, but for installation purposes, it is most commonly classified by the **method of installation and ... is essential for managing the complex electrical needs of kitchens, laundries, and HVAC systems....

Show More
X Full Screen Image
Electrical Engineering

Loading products...

State significance of earthing. Draw and explain pipe earthing. State the values of earth resistances for : (i) Substation (ii) Residential wiring (iii) H.T. Line (iv) L.T. Line
Answer : ### 1. Significance of Earthing Earthing (or grounding) is a fundamental safety measure in any electrical installation. Its primary significance is to protect people, equipment, and property from ... to consumers. [1]: https://electrical-engineering.app/?qa=blob&qa_blobid=3390146307772186646...

Show More
X Full Screen Image
Electrical Engineering

Loading products...

State applications of : (i) PVC paper (ii) Porcelain with type of class based on withstand temperature is insulating material.
Answer : ### (i) Applications of PVC Paper "PVC paper" typically refers to synthetic paper made from Polyvinyl Chloride resin or paper that is heavily coated with PVC. It is not traditional ... inside electrical enclosures and switchgear to support and insulate current-carrying busbars from the metal frame....

Show More
X Full Screen Image
Electrical Engineering

Loading products...

Draw and explain the use of : (i) Combination plier (ii) Tester (iii) Wire Striper (iv) Hammer
Answer : Cutter cum Insulation Remover : ![][1] [1]: https://electrical-engineering.app/?qa=blob&qa_blobid=7558183951160707100...

Show More
X Full Screen Image
Electrical Engineering

Loading products...

Select insulating materials for following parts : (i) Insulation between heating element and base plate of electric iron. (ii) Insulation used over copper or aluminium conductor used for making coils. (iii) Transformer bushings. (iv) Insulation between transmission line and pole.
Answer : ### (i) Insulation between heating element and base plate of electric iron. **Selected Material:** **Mica** **Reasoning:** The insulation in an electric iron has a unique set of ... is very lightweight, has a high strength-to-weight ratio, and performs exceptionally well in polluted environments....

Show More
X Full Screen Image
Electrical Engineering

Loading products...

Draw the symbol of (i) PN junction diode (ii) Zener diode.
Answer : ### (i) PN Junction Diode The symbol for a standard PN junction diode consists of a triangle pointing towards a bar. The triangle represents the **Anode (A)** and the ... .app/?qa=blob&qa_blobid=15767368111367211109 [2]: https://electrical-engineering.app/?qa=blob&qa_blobid=16492801014611698669...

Show More
X Full Screen Image
Electrical Engineering

Loading products...

X Full Screen Image
Electrical Engineering

Loading products...

X Full Screen Image
Electrical Engineering

Loading products...

In a Hall Effect experiment, a voltage is measured perpendicular to both the current flow and the magnetic field. What is the physical origin of this "Hall Voltage," and what two crucial properties of a semiconductor material can be determined by measuring it?
Answer : The physical origin of the Hall Voltage is the **Lorentz force** acting on charge carriers as they move through a magnetic field. This simple experiment is profoundly important because it ... **carrier concentration `n`**, a fundamental parameter that dictates the material's electrical properties....

Show More
X Full Screen Image
Electrical Engineering

Loading products...

What are the fundamental limitations of traditional "hard-switched" PWM converters, and how do resonant or "soft-switching" techniques like Zero Voltage Switching (ZVS) and Zero Current Switching (ZCS) overcome these limitations to achieve higher efficiency and power density?
Answer : This question addresses the critical challenge of **switching loss**, the primary barrier to increasing the operating frequency, and therefore the power density, of modern power converters. ** ... state-of-the-art applications like server power supplies, EV chargers, and renewable energy inverters....

Show More
X Full Screen Image
Electrical Engineering

Loading products...

Why is electrical power transmitted at high voltage and low current?
Answer : Power loss in transmission lines is given by: $$ P_{\text{loss}} = I^2 R $$ where $I$ is the current and $R$ is the line resistance. * If power is transmitted at **low voltage**, ... kV) using **step-up transformers** for transmission, and then step it down near consumers for safe distribution. ...

Show More
X Full Screen Image
Electrical Engineering

Loading products...

What is the difference between AC (Alternating Current) and DC (Direct Current)?
Answer : Direct Current (DC): The flow of electric charge is in one constant direction. Sources include batteries, solar cells, and DC power supplies. It is mainly used in electronics, charging, ... because it can be easily transformed to higher or lower voltages using transformers, reducing energy loss....

Show More
X Full Screen Image
Electrical Engineering

Loading products...

A steady current flow in a metallic conductor of non-uniform crosssection. Which of these quantities is constant along the conductor: current, current density, electric field, drift speed?
Answer : Here is a detailed explanation for each quantity: ### 1. Current (I) * **Why it's constant:** The term "steady current" implies that the rate of flow of charge ($I = dQ/dt$) is constant. Due to the ... ($v_d$)** | Not Constant | $v_d = I/(nAe)$. Since A is not constant, $v_d$ is not constant. |...

Show More
X Full Screen Image
Electrical Engineering

Loading products...

Six lead-acid type of secondary cells each of emf 2.0 V and internal resistance 0.015 Ohm are joined in series to provide a supply to a resistance of 8.5 Ohm . What is the current drawn from the supply and its terminal voltage?
Answer : ### Given Data: * Number of cells, **n = 6** * EMF of each cell, **E_cell = 2.0 V** * Internal resistance of each cell, **r_cell = 0.015 Ω** * External resistance (load), **R = 8.5 Ω ... The current drawn from the supply is **1.40 A**. * The terminal voltage of the supply is **11.9 V**....

Show More
X Full Screen Image
Electrical Engineering

Loading products...

A battery of emf 10 V and internal resistance 3 Ohm is connected to a resistor. If the current in the circuit is 0.5 A, what is the resistance of the resistor? What is the terminal voltage of the battery when the circuit is closed?
Answer : ### Given Information: * **EMF of the battery (E):** 10 V * **Internal resistance (r):** 3 Ω * **Current in the circuit (I):** 0.5 A --- ### 1. What is the resistance of the ... text{V}$ Both methods give the same result. **Answer:** The terminal voltage of the battery is **8.5 V**....

Show More
X Full Screen Image
Electrical Engineering

Loading products...

The storage battery of a car has an emf of 12V . If the internal resistance of the battery is 0.4 Ohm , what is the maximum current that can be drawn from the battery?
Answer : The maximum current that can be drawn from the battery is **30 Amperes (A)**. --- ### Detailed Explanation #### 1. Understand the Concepts * **EMF (Electromotive Force, $\mathcal{E ... even explode. This calculation is a theoretical maximum. **Never attempt to short-circuit a car battery.**...

Show More
X Full Screen Image
Electrical Engineering

Loading products...

Two wires A and B are of the same metal and of same length have their areas of cross section in the ratio 2:1 if the same potential difference is applied across each wire in turn, what will be the ratio of current flowing in A & B ?
Answer : The ratio of the current flowing in wire A to wire B is **2:1**. --- ### Detailed Explanation Let's break down the problem using the relevant physics principles. #### 1. List the Given ... resistance, which is wire A. Our result confirms this: the current in A is twice the current in B....

Show More
X Full Screen Image
Electrical Engineering

Loading products...

State one condition for maximum current to be drawn from the cell?
Answer : For maximum current to be drawn from a cell, the **external resistance in the circuit should be zero**. This condition is also known as a **short circuit**. **Explanation:** The current (I) drawn from a cell ... possible value is 0. When R = 0, the current is at its maximum value, I_max = E / r....

Show More
X Full Screen Image
Electrical Engineering

Loading products...

What is drift current?
Answer : ### The Simple Analogy: A River Imagine a wide, slow-moving river. The water molecules in the river are like the **charge carriers** (e.g., electrons) in a wire. * **Without a ... What's the opposite?** Diffusion current, which is caused by differences in concentration, not by an electric field....

Show More
X Full Screen Image
Electrical Engineering

Loading products...

Do conventional current and electron current flow in the same direction in an electric circuit?
Answer : ![][1] [1]: https://electrical-engineering.app/?qa=blob&qa_blobid=13686190518983378217 The short answer is: **No, they flow in opposite directions.** Here is a detailed breakdown of why: ... what's happening inside the wire, you need to think about **electron current (negative to positive)**....

Show More
X Full Screen Image
Electrical Engineering

Loading products...

Discover the fundamentals of electric current. Learn the definition, the basic formula (I = Q/t), the difference between AC/DC, and the distinction between conventional current and electron flow.
Answer : ![][1] [1]: https://electrical-engineering.app/?qa=blob&qa_blobid=15457729789953541712 *** # What is Electric Current? A Complete Guide to the Basics Electric current is the ... industry has continued to use conventional current (positive to negative) as the standard for circuit analysis....

Show More
X Full Screen Image
Electrical Engineering

Loading products...

What is Kirchhoff's Current Law (KCL) ?
Answer : ![][1] [1]: https://electrical-engineering.app/?qa=blob&qa_blobid=291642859617107883 --- ### **Understanding Kirchhoff's Current Law (KCL): Definition, Formula, and Example** Kirchhoff's Current Law, often abbreviated ... = 2 A` **Answer:** The value of the unknown current is **I₅ = 2 A**....

Show More
X Full Screen Image
Electrical Engineering

Loading products...

A Comprehensive Guide to Combining Current Sources in Parallel
Answer : ![][1] [1]: https://electrical-engineering.app/?qa=blob&qa_blobid=12235151567786633618 --- # A Comprehensive Guide to Combining Current Sources in Parallel In the world of electrical ... Simplify:** Redraw the circuit with the single equivalent current source to make further analysis easier....

Show More
X Full Screen Image
Electrical Engineering

Loading products...

Distinguish between Direct current and alternating current.
Answer : # Direct Current vs Alternating Current: Complete Guide ## What is Direct Current (DC)? Direct Current (DC) is a type of electrical current that flows in one direction only. In ... and interaction between DC and AC systems will remain fundamental to electrical engineering and power system design....

Show More
X Full Screen Image
Electrical Engineering

Loading products...

Learn Electrical and Electronics Engineering the easy way at Electrical-Engineering.app – tutorials, tools, calculators, and video lessons for students, professionals, and beginners.

Categories

277 questions

204 answers

23.1k users

...